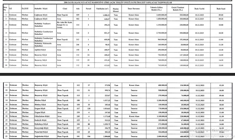
Erzincan merkez İlçesi sınırları içerisinde bulunan ve aşağıda bilgileri yer alan 23 adet taşınmazın satış ihalesi 2886 sayılı Devlet İhale Kanununun 45'nci maddesi uyarınca açık teklif usulü ile hizalarında gösterilen tarih ve saatlerde Erzincan Çevre, Şehircilik ve İklim Değişikliği İl Müdürlüğünün Yeni Hizmet Binasının Zemin Katındaki Çok Amaçlı Salonunda (İhale Odasında) toplanacak komisyon huzurunda yapılacak.
İsteklilerin yasal yerleşim yeri sahibi olmaları ve tebligat için Türkiye'de adres göstermeleri gerekiyor. İsteklilerin her taşınmaz ihalesi için ayrı ayrı olmak üzere belirtilen ihale gün ve saatine kadar geçici teminat makbuzu veya süresiz teminat mektubu ile Gerçek kişilerin T.C. Kimlik numarası, Tüzel kişilerin ise vergi kimlik numarası ile birlikte komisyona müracaat etmeleri gerekiyor. Mevzuata aykırı olarak düzenlenmiş teminat mektupları kabul edilmez. Her teminat mektubunda daha önce ilgili banka şubesinde verilen teminat mektupları toplamı aynı şubenin limitlerinin de gösterilmesi zorunlu olacak.
Başka şahıs adına ihaleye iştirak edeceklerin noter tasdikli vekaletnameyi, Tüzel Kişilerin yukarıda belirtilen şartlardan aynı olarak İdare Merkezlerinin bulunduğu yer mahkemesinden veya siciline kayıtlı bulunduğu Ticaret ve Sanayi Odasından yahut benzeri mesleki kuruluştan, ihalenin yapıldığı yıl içinde alınmış sicil kayıt belgesi ile tüzel kişilik adına ihaleye katılacak veya teklifte bulunacak kişilerin tüzel kişiliği temsile tam yetkili olduklarını gösterir noterlikçe tasdik edilmiş imza sirkülerini veya vekaletnameyi vermeleri; Kamu Tüzel Kişilerinin ise tüzel kişilik adına ihaleye katılacak veya teklifte bulunacak kişilerin tüzel kişiliği temsile yetkili olduğunu belirtir belgeyi vermeleri zorunlu olacak.
Posta ile yapılacak müracaatlarda teklifin 2886 sayılı Devlet İhale Kanunun 37. Maddesine uygun olarak hazırlanması ve teklifin 2886 sayılı Devlet İhale Kanunun 38. Maddesine uygun olarak ihale saatinden önce komisyona ulaştırılması gerekiyor. Postada meydana gelebilecek gecikmelerden dolayı İdare ve Komisyon tarafından herhangi bir sorumluluk kabul edilmeyecek.
İhalelerden yasaklı olanlar ihaleye katılamayacak.
2886 Sayılı Kanunun 7. Maddesi uyarınca; İhale komisyonu ihaleyi yapıp yapmamakta serbesttir. 2886 sayılı Devlet İhale Kanunu'nun 47. Maddesinin 5'inci fıkrası uyarınca; Teklifler yapıldığı sırada, yapılanı artırımların işi uzatacağı anlaşılırsa, isteklilerden komisyon huzurunda son tekliflerini yazılı olarak bildirmeleri istenebilir.
Şartname ve ekleri mesai saatleri içerisinde Milli Emlak Müdürlüğünde ücretsiz olarak görülebilir.
Taşınmazların satış bedellerinin; Belediye sınırları içerisindeki taşınmazlarda 5.000,00 TL'yi, Belediye sınırları dışındaki taşınmazlarda ise 1.000,00 TL'yi aşması halinde, talep üzerine, bedelin 1/4'ü peşin, kalan kısmı kanuni faiz uygulanmak suretiyle en fazla iki yılda eşit taksitlerle ödenmek üzere taksitlendirme yapılabilecek. 4706 sayılı Kanun gereğince Hazine taşınmazlarının satış işlemleri ve bu işlemler sırasında düzenlenen belgeler vergi, resim ve harçtan müstesna olacak. Satışı yapılan taşınmaz satış tarihini takip eden yıldan itibaren 5 (Beş) yıl süreyle Emlak Vergisinden muaf olacak.
Satışa sunulan Hazineye ait taşınmazların ihale sonucu oluşacak satış bedeli üzerinden Çevre, Şehircilik ve İklim Değişikliği Bakanlığının Döner Sermaye Hesabına 5.000.000 TL ye kadarlık kısmı için % 1, 5.000.000-10.000.000 TL arasında kalan kısım için % 0,5, 10.000.000 TL den fazlası için %0,25 döner sermaye ücreti peşin olarak alınacak.
Hazine taşınmazlarının satış bedelinin peşin olarak ödenmesi halinde satış bedeline yüzde yinni (% 20) indirim uygulanacak.
Geçici teminat yatıracaklar için; vezne Erzincan Defterdarlığı Muhasebe Müdürlüğünde bulunduğundan, ihaleye katılacak olanların bu hususu dikkate almalar gerekmekte olup, kesinlikle Banka dekontu kabul edilmeyecek. Ancak, Banka aracılığıyla ilgili Muhasebe hesaplarına yatırılan geçici teminat bedelleri, geçici teminat olarak kabul edilecek Geçici teminatın yatırıldığına ilişkin muhasebe işlem fişi olmayan veya ibraz edemeyenler ihaleye katılamayacak.
İhale ilanları www.milliemlak.gov.tr ve www.erzincan csb.gov.tr adreslerinden görülebilir.
Adres: İzzetpaşa Mah. Recep Tayyip Erdoğan Bulvarı No:10 24040 Merkez / Erzincan TIE 0 (446) 226 15 00






